2. 云南省第一人民医院遗传诊断中心, 云南 昆明 650032;
3. 昆明理工大学附属昆华医院, 云南 昆明 650032
先天性甲状腺功能减低症(congenital hypothyroidism, CH)是因先天性甲状腺发育异常或代谢障碍引起的一种常见小儿内分泌疾病,发病率约为1/2 034[1],严重者可影响大脑和体格发育,并导致不可逆的智力发育障碍。该病可防可治,早期诊断和治疗尤为重要。CH的治疗目标是尽快使血清游离甲状腺素(free thyroxine, FT4)和促甲状腺素(thyroid-stimulating hormone, TSH)浓度恢复至正常范围,以保证患儿的正常生长发育。CH治疗首选左旋甲状腺素钠(levothyroxine, L-T4),治疗的初始剂量和时机很关键。Rahmani等[2]回顾分析了35年来22项评价CH治疗初始剂量和/或治疗时机的临床研究,表明CH一旦确诊需尽早治疗,最好在生后1个月内开始,但对最佳初始治疗剂量的选择存在争议,纳入研究的初始剂量为每日3.21~23.6 μg/kg,多数初始剂量较高(每日10~17 μg/kg)。也有研究[2-3]提出L-T4每日7.5~8.0 μg/kg、甚至每日3.21~5.81 μg/kg就能有效治疗CH,而较高剂量可能导致冲动、注意力不集中等行为问题。美国儿科协会和中华医学会儿科学分会均推荐L-T4每日10~15 μg/kg作为CH初始治疗剂量[4-5]。但有研究认为,以此剂量治疗,甲功虽可快速恢复正常,但可能出现医源性甲亢等并发症,推荐以每日 < 10 μg/kg作为初始剂量[6-7]。因此,本研究分析、比较两个初始剂量组(每日10~15 μg/kg和 < 10 μg/kg)的甲功恢复、体格和神经发育情况,为确定适宜的CH初始治疗剂量提供理论依据。
1 资料与方法 1.1 研究对象对2011年10月至2015年10月云南省昭通市、曲靖市、丽江市和迪庆藏族自治州4地463 894例(男238 848例、女225 046例)活产新生儿进行TSH筛查,4 001例初筛阳性。对2 980例(74.48%)初筛阳性的行甲状腺功能检查。根据CH诊断标准[4]确诊125例,中位年龄26(21~38)d,其中98例在云南省第一人民医院治疗和随访(随访12~24个月),按L-T4剂量分为标准剂量组(每日10~15 μg/kg)和小剂量组(每日 < 10 μg/kg);按初始治疗时间,分为2月龄内和2月龄后开始治疗组。本研究获医院医学伦理委员会批准和患儿监护人的知情同意。
1.2 甲状腺功能检测采用电化学发光法检测甲状腺功能,包括TSH、甲状腺素(thyroxine, T4)、三碘甲状腺原氨酸(triiodothyronine, T3)和游离三碘甲状腺原氨酸(free triiodothyronine, FT3)、FT4。检测时点分别为治疗前和治疗后2周、1个月,以及之后的每2个月一次至21个月,21个月之后的每3个月一次至24个月。
1.3 体格发育评价于1、3、6、12、18和24月龄监测患儿身高和体重。根据首都儿科研究所制定的0~7岁儿童生长标准[8]评价体格发育。
1.4 神经发育评价在6月、12月、18月和24月龄4个时点,用Gesell发育量表评价患儿神经发育情况,包括适应性行为、大运动、精细动作、语言和个人—社会性行为五个能区,< 70分为发育迟缓,70~84分为边缘水平,≥85分正常。
1.5 统计学分析采用SPSS 16.0统计软件进行数据处理。符合正态分布的计量资料用均数±标准差(x±s)表示,组间比较采用t检验;不符合正态分布的计量资料用中位数四分位数[P50(P25,P75)]表示,组间比较采用秩和检验;计数资料以百分率表示,组间比较采用χ2检验。P < 0.05为差异有统计学意义。
2 结果 2.1 CH患儿的一般情况125例确诊患儿中男性65例、女性60例,男女性别比为1.08 : 1,性别构成比差异无统计学意义(χ2=0.013,P=0.909);确诊患儿中以汉族(86.4%)为主;足月儿占96.8 %;正常出生体重儿占88.0%;出生身长 < 50 cm者占26.4%。见表 1。其中1例患儿经外周血染色体检查确诊为21-三体综合征。
| 表 1 125例CH患儿的一般情况 |
2.2 不同初始治疗剂量组的甲功恢复情况
标准剂量组中2月龄内开始治疗的35例(68.6%),2月龄后开始治疗的16例(31.4%);小剂量组中2月龄内治疗的27例(57.4%),2月龄后治疗的20例(42.6%)。不同初始治疗剂量组中2月龄内和2月龄后开始治疗者所占比例的差异无统计学意义(χ2=1.316,P=0.251)。标准剂量和小剂量组治疗前的甲功差异无统计学意义(P > 0.05)。
治疗后2周,标准剂量组的TSH低于小剂量组,FT4高于小剂量组(P < 0.05);2周后两组间其他时间点的TSH、FT4差异均无统计学意义(P > 0.05)。见表 2~3。标准剂量组TSH和FT4在治疗后2周至1个月恢复正常,小剂量组在治疗后1个月恢复正常。
| 表 2 不同初始剂量组治疗后各个时点的TSH变化[P50(P25,P75),mU/L] |
| 表 3 不同初始剂量组治疗后各个时点的FT4变化[P50(P25,P75),pmol/L] |
2.3 不同剂量组治疗后的体格发育状况
治疗前以及治疗后各个时点,两个剂量组的男童或女童的身高和体重的差异均无统计学意义(P > 0.05)。见图 1。两组患儿身高和体重与同年龄同性别正常儿童的差异亦无统计学意义(P > 0.05)。
|
图 1 不同初始剂量组治疗后各个时点的身高、体重情况 A:男童身高;B:男童体重;C:女童身高;D:女童体重。 |
2.4 神经发育情况
不同治疗剂量组的CH患儿6月、12月、18月和24月龄Gesell量表各项评分的差异无统计学意义(P > 0.05),见表 4。
| 表 4 不同初始剂量组的神经发育情况评分(x±s) |
2.5 不同治疗时机疗效评估
98例CH患儿中62例在2月龄以内开始治疗,接受标准剂量治疗的35例(56.5%)、小剂量治疗的27例(43.5%);36例在2月龄以后开始治疗,其中标准剂量治疗16例(44.4%),小剂量治疗20例(55.6%)。不同治疗时机组中,标准剂量和小剂量治疗者所占比例的差异无统计学意义(χ2=1.316,P=0.251)。两组间治疗前甲功各指标的差异无统计学意义(P > 0.05)。治疗后两组间各个不同时点的TSH和FT4差异均无统计学意义(P > 0.05)。见表 5~6。
| 表 5 不同治疗时机组治疗后各个时点的TSH变化[P50(P25,P75),mU/L] |
| 表 6 不同治疗时机组治疗后各个时点的FT4变化[P50(P25,P75),pmol/L] |
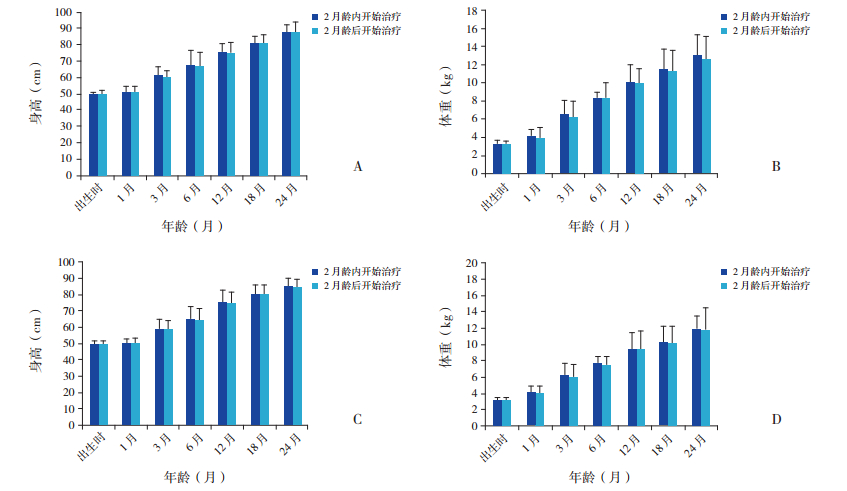
治疗前以及治疗后各个时点,不同治疗时机组男童或女童的身高、体重的差异均无统计学意义(P > 0.05),虽然2月龄内开始治疗的男童或女童身高、体重在3、6、12月龄时较高。见图 2。
|
图 2 不同治疗时机组治疗后各个时点的身高、体重情况 A:男童身高;B:男童体重;C:女童身高;D:女童体重。 |
与2月龄后开始治疗的患儿相比,2月龄内开始治疗的患儿在6月龄时适应性行为、大运动、精细动作能区评分,12月龄时大运动能区评分,18月龄时精细动作能区评分,以及24月龄时语言能区评分均较高,差异具有统计学意义(P < 0.05)。见表 7。
| 表 7 不同治疗时机组治疗后各个时点的神经发育情况比较(x±s) |
3 讨论
CH可影响大脑和生长发育,导致不可逆的智力和体格发育障碍,早期诊断和治疗则事半功倍。由于CH患儿在新生儿期可无特异性临床表现,误诊、漏诊时有发生,因此新生儿甲功筛查是早期发现CH的主要方法。本研究对云南省4个地区的463 894例活产新生儿中TSH初筛阳性者召回,确诊CH患儿125例,CH发病率为1 : 3 711,低于全国平均水平[9]。目前国内外对CH治疗多推荐每日10~15 μg/kg作为初始剂量[4-5]。但有研究[6, 10]发现,当每日剂量 > 12 μg/kg时,易出现甲亢表现,而且大剂量也可增加学龄期行为问题,如注意力不集中、冲动及好斗等[2]。Tuhan和Al-Jurayyan等[6, 11]学者不推荐初始治疗大剂量。而Salerno等[12]认为,初始剂量对患儿后期智力、体格发育及行为等方面影响的证据不足。本研究标准剂量组治疗后2周的TSH低于小剂量组,FT4高于小剂量组,TSH和FT4于2周至1个月恢复正常;小剂量组则在治疗后1个月恢复正常。与文献报道[13]一致。但不同剂量组CH患儿治疗后各个时点身高和体重的差异无统计学意义,这是否与样本量较少有关,需要进一步研究验证。
随着新生儿筛查覆盖率的增高,CH得以及早诊断,治疗时机相应大大提前。文献报道,CH患儿如能在1月龄以内开始治疗,其智力发育可接近正常水平[14-15];治疗每延迟1周都可能对患儿的智能造成不同程度的不可逆损害[16]。生后较早(1~2月龄内)开始治疗者,体格和智力发育优于较晚开始治疗者[2]。本研究显示,2月龄内开始治疗的患儿在6月龄的适应性行为、大运动、精细动作能区评分,12月龄的大运动能区评分,18月龄的精细动作能区评分,以及24月龄的语言能区评分均较高。与文献相符。
综上所述,CH是影响儿童体格和智力发育的常见内分泌疾病,一经确诊,应尽早开始治疗,标准剂量疗效优于小剂量,但需注意监测甲状腺功能,给予个体化调整。
| [1] | 徐艳华, 秦玉峰, 赵正言. 中国新生儿先天性甲状腺功能低下症与苯丙酮尿症筛查22年回顾[J]. 中华儿科杂志, 2009, 47(1): 18–22. |
| [2] | Rahmani K, Yarahmadi S, Etemad K, et al. Congenital hypothyroidism:Optimal initial dosage and time of initiation of treatment:A systematic review[J]. Int J Endocrinol Metab, 2016, 14(3): e36080. |
| [3] | Yang RL, Zhu ZW, Zhou XL, et al. Treatment and follow-up of children with transient congenital hypothyroidism[J]. J Zhejiang Univ Sci B, 2005, 6(12): 1206–1209. DOI:10.1631/jzus.2005.B1206 |
| [4] | Rose SR, Brown RS, Foley T, et al. Update of newborn screening and therapy for congenital hypothyroidism[J]. Pediatrics, 2006, 117(6): 2290–2303. DOI:10.1542/peds.2006-0915 |
| [5] | 中华医学会儿科学分会内分泌遗传代谢学组. 先天性甲状腺功能减低症诊疗共识[J]. 中华儿科杂志, 2011, 49(6): 421–424. |
| [6] | Tuhan H, Abaci A, Cicek G, et al. Levothyroxine replacement in primary congenital hypothyroidism:the higher the initial dose the higher the rate of overtreatment[J]. J Pediatr Endocrinol Metab, 2016, 29(2): 133–138. |
| [7] | 陈肖肖, 施玉华, 曹丽佩, 等. 左旋甲状腺素钠治疗先天性甲状腺功能减退症的初始剂量研究[J]. 中华内分泌代谢杂志, 2010, 26(4): 273–277. |
| [8] | 首都儿科研究所. 中国七岁以下儿童体重、身长/身高和头围的生长标准值及标准化生长曲线[J]. 中华儿科杂志, 2009, 47(3): 173–178. |
| [9] | 章印红, 李利, 陈红, 等. 云南省部分地区新生儿先天性甲状腺功能减低症筛查结果分析[J]. 中国当代儿科杂志, 2015, 17(1): 45–48. DOI:10.7499/j.issn.1008-8830.2015.01.010 |
| [10] | Vaidyanathan P, Pathak M, Kaplowitz PB. In congenital hypothyroidism, an initial levothyroxine dose of 10-12μg/kg/day is suffcient and sometimes excessive based on thyroid tests 1 month later[J]. J Pediatr Endocrinol Metab, 2012, 25(9-10): 849–852. |
| [11] | Al-Jurayyan NAM, Al-Jurayyan RNA, Al Senani AMS. Effcacy of a high initial dose of L-thyroxine in the treatment of congenital hypothyroidism[J]. Curr Pediatr Res, 2010, 14(2): 125–130. |
| [12] | Salerno M, Militerni R, Bravaccio C, et al. Effect of different starting doses of levothyroxine on growth and intellectual outcome at four years of age in congenital hypothyroidism[J]. Thyroid, 2002, 12(1): 45–52. DOI:10.1089/105072502753451968 |
| [13] | 王秀利, 彭磊, 杨丹艳, 等. 先天性甲状腺功能减低症筛查及治疗效果分析[J]. 临床儿科杂志, 2016, 34(8): 602–605. |
| [14] | 陆艳红, 刘晓瑛, 宋媛. 早期治疗对先天性甲状腺功能减低症患儿智力及体格发育的影响[J]. 中国当代儿科杂志, 2012, 14(6): 418–421. |
| [15] | Nili S, Ghaderi E, Ghotbi N, et al. Comparison of IQ between patients with treated congenital hypothyroidism and healthy children in the Kurdish population-A historical cohort[J]. Acta Endocrinologica, 2015, 11(3): 299. DOI:10.4183/aeb.2015.299 |
| [16] | Gilbert ME, Rovet J, Chen Z, et al. Developmental thyroid hormone disruption:prevalence, environmental contaminants and neurodevelopmental consequences[J]. Neurotoxicology, 2011, 33(4): 842–852. |
2017, Vol. 19

